服务热线:0510-82812900

【广东海洋大学】Int. J. Biol. Macromol.(IF=8.2)磁场辅助冷冻对南美白对虾糜凝胶特性的影响

点击关注
| 了解更多


鱼糜是一种高营养价值的海洋水产凝胶产品,而虾糜与之类似。南美白对虾是我国重要的经济型水产,富含肌原纤维蛋白,具有独特的凝胶特性。常见虾糜制品以冻藏为主,但传统冷冻易导致大冰晶形成,对虾肌肉纤维造成机械损伤,引起品质劣变。超声波、电场、高压等物理场辅助冷冻的方法受到广泛关注,与传统冷冻相比,可加快冷冻速度,形成细小而均匀的冰晶,保护食物结构组织。已有研究表明磁场辅助冷冻可改善虾肉品质损失,但对虾糜制品的影响尚不明确。


图片

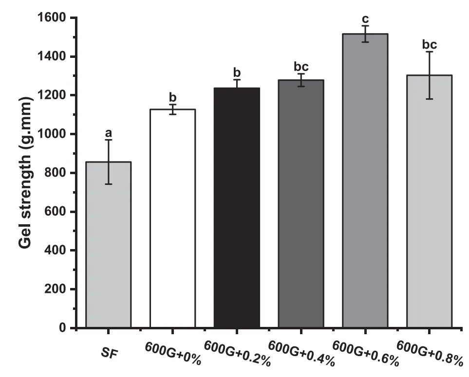
广东海洋大学食品科学与技术学院研究团队在化学领域Top期刊International Journal of Biological Macromolecules在线发表了题为“Improvement of gelation properties of Penaeus vannamei surimi by magnetic field-assisted freezing in combination with curdlan”的文章,将新鲜虾糜加入不同含量可得然胶胶凝,在-18 ℃,600 Gs(60 mT)磁场环境下辅助冷冻,并探究不同环境下冷冻虾糜理化性质的变化。

研究发现,对照组(无磁场冷冻SF)解冻损失最大达22.95%,而在磁场和可得然胶凝条件下,解冻损失减少,且在60 mT+0.6%可得然胶时解冻损失最小仅为11.41%。与SF相比,磁场辅助冷冻的虾糜持水能力均高于64.57%,最高可达69.63%。磁场辅助冷冻促细胞内外均匀小冰晶的形成,削弱了水与蛋白质分子的分离,抑制蛋白质冷冻变性。SF组的蒸煮损失高达50.48%,而60 mT+0.6%下仅为13.83%,磁场辅助冷冻改善虾糜肌肉结构,蒸煮损失显著下降。虾糜冷冻过程,水分在虾糜凝胶中发生迁移,结合水和不易流动水的占比发生改变,与SF相比,60 mT+0.6%下,不宜流动水峰面积从96.55%增加至97.33%,水分子聚集作用增强,更多游离水转化为不易流动水,且磁场环境下,虾糜凝胶中氢质子密度增加,形成更稳定的凝胶网络结构,提高虾糜保水性。磁场与凝胶剂联合使用显著改善虾糜的凝胶强度、硬度、弹性、内聚力和会弹性等质构特性,此外,蛋白质中α螺旋向无规则卷曲和β折叠转变,促进肌原纤维分子生长,暴露很多疏水基团和硫醇,改善蛋白质分子间相互作用。与SF相比,磁场辅助冷冻后的结构紧凑,孔隙率从61.49%下降至51.34%,形成稳定致密的网络结构。磁场技术的研究与应用,为水产及其制品的冻藏提供了新的技术发展方向。

图片

图片

图片

图片

图片

图片

图片

图片

图片

图片

图片

图片

参考文献

https://doi.org/10.1016/j.ijbiomac.2023.128323