服务热线:0510-82812900

J HAZARD MATER(IF=10.588)交变磁场减缓好氧堆肥过程中N2O的排放

图片

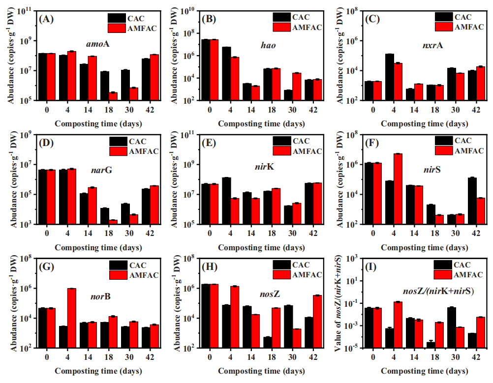
肉制品的需求带动了养殖业的快速发展,从而导致家禽粪便的大量产生。我国畜禽粪便年产量约38亿吨,其中N、K、P 养分共计3500万吨,相当于每年化肥消耗量的一半以上。好氧堆肥是处理畜禽粪便的有效途径,在此过程中,粪便中丰富的有机物可以被微生物充分利用,有利于植物稳定生长。然而,在好氧堆肥过程中,约有10%的氮以N2O的形式排放到大气中,作为一种强效温室气体,其影响大约是 CO2的300倍。因此,减少好氧堆肥的N2O排放具有重要的环境意义。


图片

福建农林大学资源与环境学院研究团队在环境科学与生态学领域Top期刊JOURNAL OF HAZARDOUS MATERIALS在线发表了题为“Alternating magnetic field mitigates N2O emission during the aerobic composting of chicken manure”的文章,施加5 mT间歇交变磁场,将交变磁场应用于传统的有氧堆肥。

研究发现,与对照相比(64.8 ℃、13天、36.93%),交变磁场有氧堆肥的最高温度达到65.1 ℃,55 ℃以上持续时间为16天,肥料最终水分为40.42%。交变磁场环境下,NH4+含量从0.995 gN/kg增加至1.359 gN/kg,磁场环境下,N从有机N向无机N(NH4+)转化,而NO2-和NO3-含量略有下降,分别为0.245和3.999 gN/kg,对照组为0.299和5.098 gN/kg,磁场环境下NO3反硝化作用减少,留下更多N,有利于提高堆肥肥力,减少了39.8%的N2O排放。交变磁场环境削弱了功能基因amoA、narG和nirS的表达(分别最大降低96%、83.7%和95.5%),增强了nosz功能基因的表达,最大系数为36.5。磁场技术的研究与利用为减少N2O排放提供了一种有效的策略。

图片

图片

图片

图片

图片

图片

参考文献

https://doi.org/10.1016/j.jhazmat.2020.124329


版权声明

本公众号推送文章仅为学术交流使用,‘原创’为原创编译之标记,不表示本平台对文本主张版权。作者团队或单位如需使用编译文本,可联系小助开放白名单。凡是注明“转载”的稿件,均已注明直接来源,如需使用,请联系版权人。如有侵权,请联系我们,我们会尽快删除。