服务热线:0510-82812900

COLLOID SURFACE B(IF=5.268)交变磁场下磁性纳米颗粒修饰的聚电解质微胶囊的细胞毒性

图片



近年来,肿瘤疾病的治疗取得了重大进展,磁热疗是一种通过输送磁性材料治疗肿瘤的热疗法,被认为是目前最有前途的治疗方法,备受人们的关注。而磁疗法的关键是确保癌细胞内特定局部加热,且不会过度加热其他细胞。

图片
图片

图片

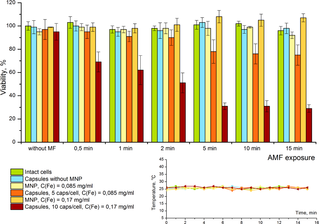
莫尔多瓦国立奥格辽夫大学Nikolay研究团队在工程技术领域Top期刊COLLOIDS AND SURFACES B-BIOINTERFACES在线发表了题为“Enhanced cytotoxicity caused by AC magnetic field for polymer microcapsules containing packed magnetic nanoparticles”的文章,采用磁性纳米颗粒修饰的聚电解质为微胶囊局部连接高浓度磁性材料,并探究人成纤细胞对微胶囊的利用,及20 mT磁场环境下磁性微胶囊在对细胞的毒性。

研究发现,将人成纤细胞与修饰后的微胶囊一起孵育,细胞活力无显著变化,磁场环境下,单独使用磁性纳米颗粒或不添加任何介质,细胞存活率不会降低。然而,当人成纤细胞与修饰后的微胶囊暴露于磁场环境下孵育时,具有显著的剂量及时间依赖性,每个细胞添加5和10个微胶囊(铁含量分别为0.085 mg/mL和0.17 mg/mL)时,在5分钟时具有细胞毒性,细胞活力仅为75%和29%,随时间进一步增加,活力无显著差异。磁性纳米颗粒包覆在聚电解质层之间,可保持局部高浓度的磁性纳米颗粒含量,临界量的磁性纳米颗粒在细胞中积累,磁场环境下细胞发生局部热损伤,同时微胶囊彼此封闭,热导率下降,细胞温度无显著增加。

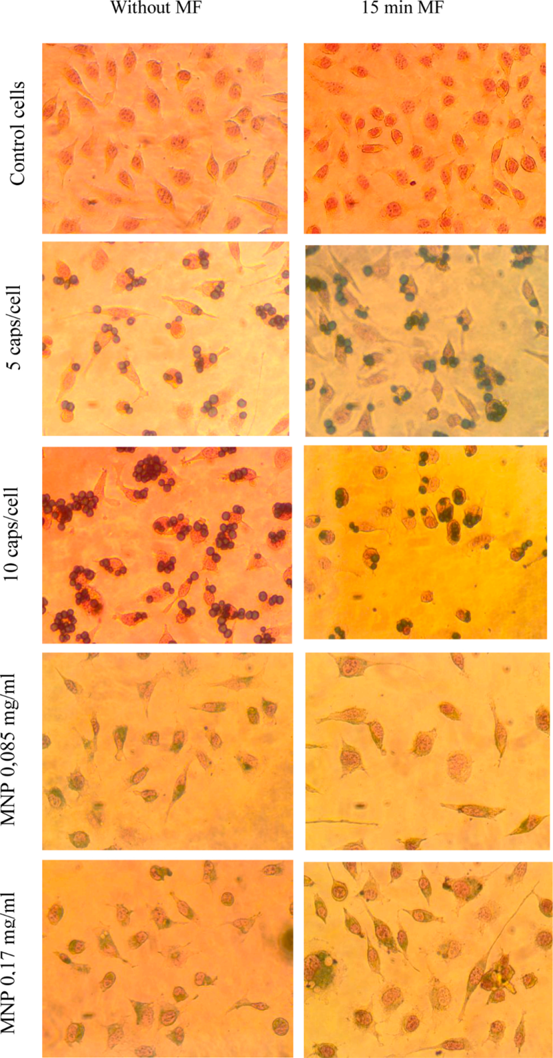
人成纤细胞具有典型的梭形,加入磁性纳米颗粒后,细胞质呈蓝绿色。在磁场环境下,人成纤细胞与磁场纳米颗粒一起孵育,细胞结构无显著变化。磁场环境下,当每个细胞含有5个微胶囊时,大多细胞仍保持原有形状,部分变成圆形和具有未分化细胞核的细胞;当每个细胞含有10个微胶囊时,细胞无典型梭形,细胞形状不规则,大多呈现椭圆形和圆形。磁场技术与微胶囊的结合为磁热疗提供了理论指导,在靶向给药和口腔肿瘤化疗等方面极具应用潜力。

图片

图片

图片

图片

图片

图片

参考文献

https://doi.org/10.1016/j.colsurfb.2020.111548


版权声明

本公众号推送文章仅为学术交流使用,‘原创’为原创编译之标记,不表示本平台对文本主张版权。作者团队或单位如需使用编译文本,可联系小助开放白名单。凡是注明“转载”的稿件,均已注明直接来源,如需使用,请联系版权人。如有侵权,请联系我们,我们会尽快删除。