服务热线:0510-82812900

J ENVIRON MANAGE(IF=6.789)静磁场对小球藻-地衣芽孢杆菌联合体生长及其对污水处理效果的影响

图片
水体富营养化是一个世界性环境问题,2019年,中国28%湖泊呈轻度或中度富营养化。微藻和细菌协同处理污水作为一种绿色环保技术,成为研究热点。但传统的藻菌联合体处理时间长,藻类采集困难。磁场作为一种物理处理方法,无毒无污染、且依据磁场强度的不同,磁场对不同生物体具有不同的生物学效应。

图片


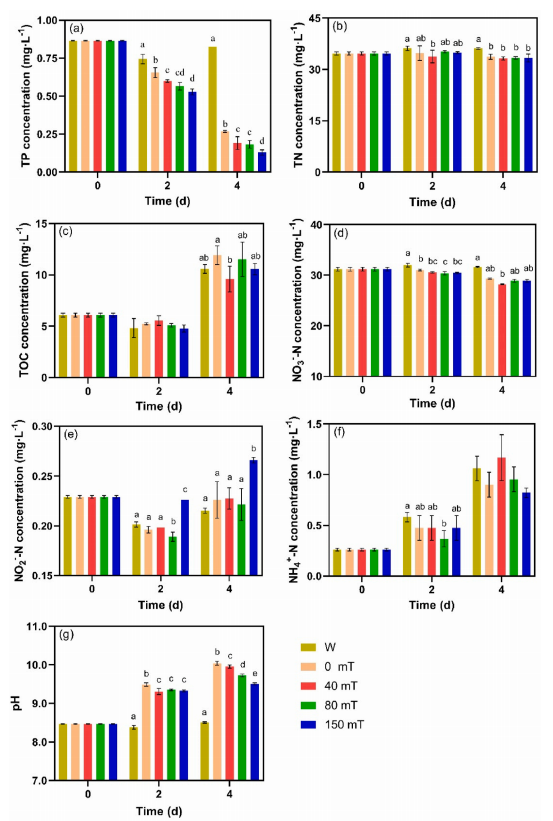
复旦大学环境科学与工程系研究团队在环境科学与生态学领域Top期刊JOURNAL OF ENVIRONMENTAL MANAGEMENT在线发表了题为“The influence of a static magnetic field on a Chlorella vulgaris - Bacillus licheniformis consortium and its sewage treatment effect”的文章,采用20~200 mT静磁场培养小球藻-地衣芽孢杆菌联合体,探究其生长活性、代谢物变化及对污水中磷等养分去除率的影响。
研究发现,与对照相比,150 mT磁场下的藻类密度提高56.01%, 40 mT磁场环境下,培育前3天藻类密度较低,但第4天开始显著增加。磁场作用下,物质受到磁场力、磁感应能级分裂和电效应,影响细胞内的生化反应速率,进而改变细胞生长。磁场环境下,样品中T-pro含量高于对照组,但随磁场强度增加而下降。磁场影响了一些参与蛋白质合成的酶的活性,影响小球藻细胞内蛋白质的合成和积累,藻类大量生长促进水体中磷含量下降。与对照相比,磁场环境下,藻菌联合体中可溶性胞外聚合物(S-EPS)含量增加,80 mT下S-EPS含量最高。而结合型胞外聚合物(B-EPS)变化趋势与之相反,80 mT下B-EPS含量最低,而40 mT下最高。
磁场对藻菌联合体的EPS分泌具有促进作用。且80 mT下藻菌联合体的聚集百分比显著高于其他条件。磁场环境下,藻菌联合体中碱性磷酸酶(AKP)和过氧化氢酶(CAT)活性增加,酶中一些过渡金属离子被顺磁化,酶活性增强。丙二醛(MDA)含量的变化与CAT变化基本一致,40 mT下最低,而150 mT下最高。谷胱甘肽(GSH)含量变化趋势与MDACAT相反。处理4天后,与对照相比,150 mT下污水中总磷(TP)去除率提高19.10%,总氮(TN)无显著变化,40 mT下污水中总有机碳(TOC)下降19.45%。藻菌联合体与磁场技术相结合,为污水处理提供了新的方法,同时为藻类资源化利用提供了新思路。

图片

图片

图片

图片

图片

参考文献:
https://doi.org/10.1016/j.jenvman.2021.112969


版权声明

本公众号推送文章仅为学术交流使用,‘原创’为原创编译之标记,不表示本平台对文本主张版权。作者团队或单位如需使用编译文本,可联系小助开放白名单。凡是注明“转载”的稿件,均已注明直接来源,如需使用,请联系版权人。如有侵权,请联系我们,我们会尽快删除。