服务热线:0510-82812900

Bioresource Technol.(IF=11.889)静磁场增强好氧颗粒污泥活性,处理含盐废水

图片

海水养殖、生活及工业生产产生的盐废水不断增加,高盐胁迫抑制微生物酶活性,污泥膨胀,活性污泥脱氮性能减弱,大量含氮化合物排到水生系统中。好氧颗粒污泥(AGS)可以在50 g/L NaCl下有效去除COD和铵,但总氮去除率通常低于70%,高盐度下亚硝酸盐积累,导致总氮去除不足。

图片

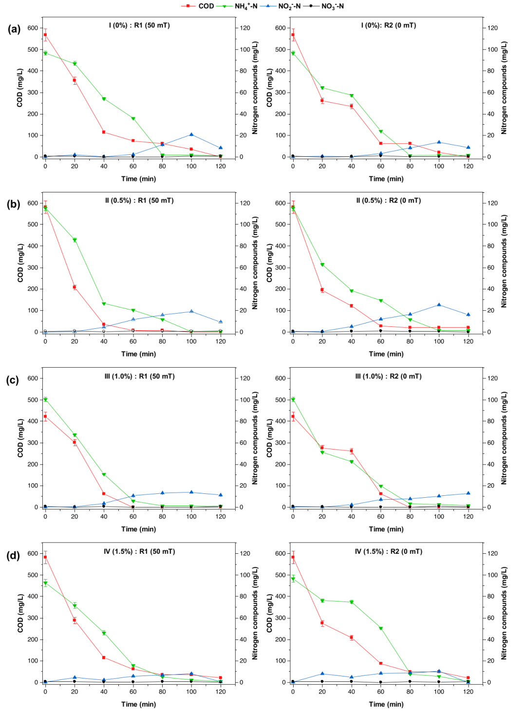
中国海洋大学环境科学与工程学院研究团队在环境科学与生态学领域Top期刊Bioresource Technology在线发表了题为“Enhanced aerobic granular sludge by static magnetic field to treat saline wastewater via simultaneous partial nitrification and denitrification (SPND) process”的文章,采用50 mT静磁场,在0、0.5、1.0、1.5和2.0%盐浓度下,探究AGS的耐盐性、颗粒性质以及长期进行部分硝化和反硝化(SPND)的性能,揭示胞外物质(EPS)分泌和微生物群落变化及其强化机制。

研究发现,在磁场环境下,好氧颗粒污泥中0.2 mm颗粒在11天时可达50%,而对照组则需要18天,且最终磁场下污泥颗粒大小维持在0.52 mm,对照组则为0.46 mm,磁场可有效刺激微生物聚集和造粒。磁场下完全造粒需86天,对照组则需96天,磁场下的颗粒沉降性能和粒径优于对照组,且混合液悬浮固体浓度(MLSS)较低。磁场下的颗粒在2.0%盐浓度下转化为絮状污泥,而对照组颗粒破裂且污泥膨胀,磁场可有效提高好氧颗粒的耐盐性。

磁场环境下EPS的含量较高,当盐浓度为0.5%时,EPS浓度从234.2持续增长至426.3 mg/g,而对照组则呈现先下降后上升的趋势,最终为345.2 mg/g。磁场中微生物通过分泌更多的EPS提高其耐盐性,对照组下的好氧颗粒污泥仅能承受1.0%盐浓度环境。

在部分硝化及反硝化过程中,磁场环境下COD去除率稳定在70%以上,且污泥恢复速度较对照组快2天,且在高盐胁迫后期,磁场下总氮去除率可达72.9%,而对照仅为50%。磁场下,1.5%高盐环境中微生物的丰富度和多样性增强,但在0%和0.5%时微生物无显著变化,磁场在高盐环境下改变了微生物群落结构如黄单胞菌、陶厄氏菌、固氮弓菌等。磁场技术在活性污泥中的应用为改善高盐废水的生物脱氮提供了一种新策略。

图片

图片

图片

图片

图片

图片

图片

图片


参考文献:

https://doi.org/10.1016/j.biortech.2022.126891


图片